色差儀(yi) 作為(wei) 顏色量化的專(zhuan) 業(ye) 工具,其在比較兩(liang) 個(ge) 樣品之間的顏色差異時,一般是以國際上通用的CIELAB顏色空間為(wei) 依托,給出樣品在該顏色空間下的色度值與(yu) 色差值。本文對色差儀(yi) CIELAB顏色空間色度值和色差值作了解析,以幫助新手更好的使用色差儀(yi) 。

色差儀CIELAB顏色空間的色度值解析:
CIELAB色空間中與(yu) 明度、彩度和色調近似相關(guan) 的量和計算公式分別是:
(1)CIE1976明度L*,計算方法如下:

(2)CIE1976彩度a,b(簡稱CIELAB彩度)C*ab,計算方法如下式:

(3)CIE1976色調角a,b(簡稱CIELAB色調角)hab,計算方法如下式:

CIELAB色空間量值計算的注意事項如下:
(1)當用線性公式f(X/Xn)=(841/108)(X/Xn)+16/116、f(Y/Yn)=(841/108)(Y/Yn)+16/116、f(Z/Zn)=(841/108)(Z/Zn)+16/116計算X/Xn、Y/Yn、Z/Zn時,可能得到hab的非正常值。非正常值通常不會(hui) 出現在表麵色的測量和計算中;有可能出現在亮度因數較低,且色品點接近光譜軌跡或紫紅邊界的透明物體(ti) 色的測量和計算中。
(2)當a*和b*均為(wei) 正值時,hab介於(yu) 0°和90°之間;當b*為(wei) 正且a*為(wei) 負時,hab介於(yu) 90°和180°之間;當a*和b*均為(wei) 負時,hab介於(yu) 180°和270°之間;當b*為(wei) 負且a*為(wei) 正時,hab介於(yu) 270°和 360°之間。
色差儀CIELAB顏色空間色差值解析:
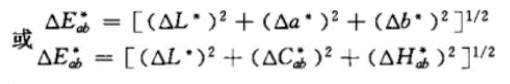
1.兩(liang) 個(ge) 顏色樣品的CIE1976 a,b色差(簡稱CIELAB色差)△E*ab計算方法如下式:

式中,△L*是CIELAB明度差,△a*、△b*是CIELAB色品指數差;△C*ab是CIELAB彩度差;△H*ab是CIELAB色調差。上麵兩(liang) 個(ge) 色差公式計算△E*ab的值是等價(jia) 的。
2.CIELAB明度差和色品指數差為(wei) :△L*=L1*-L2*、△a*=a1*-a2*、△b*=b1*-b2*。
3.CIELAB彩度差為(wei) :△C*ab=△C*ab,1-△C*ab,2。
4.CIELAB色調角差為(wei) :△hab=h*ab,1-h*ab,2。在計算△hab值時需要注意:當兩(liang) 個(ge) 顏色的連線穿過a*的正軸,△hab應進行±360°修正,以便其數值在±180°範圍內(nei) 。
5.CIELAB色調差為(wei) :△H*ab=2(C*ab,1·C*ab,2)1/2sin(△hab/2)或△H*ab=[(△E*ab)2-(△L*)2-(△C*ab)2]1/2。
對於(yu) 不在無彩色軸上的小色差,△H*ab可以按照該式計算:△H*ab=(C*ab,1·C*ab,2)1/2·△hab,式中△hab的單位是弧度。在計算色調角與(yu) 色調差時,需要注意以下事項:
(1)△H*ab與(yu) △hab的正負符號相同。
(2)當△hab的絕對值趨近180°時,可不必計算CIELAB色調差和彩度差。



