色差儀(yi) 是一種用於(yu) 測量和比較顏色差異的儀(yi) 器,其數值通常以多種色彩空間和參數形式表示。理解這些數值對於(yu) 正確使用色差儀(yi) 和分析顏色數據非常重要,以下是常見的色差儀(yi) 數值及其含義(yi) 。
常見的色彩空間及其數值表示
1. CIE Lab(或簡稱Lab)色彩空間
CIELAB色彩空間(英語:CIELAB color space)又寫(xie) 為(wei) L*a*b*,是國際照明委員會(hui) (縮寫(xie) 為(wei) CIE)在1976年定義(yi) 的色彩空間。它將顏色用三個(ge) 值表達示:
(1)L:亮度值,表示顏色的明度範圍,取值範圍通常為(wei) 0到100,0為(wei) 黑色,100為(wei) 白色。
(2)a:紅/綠軸,正值表示紅色成分增加,負值表示綠色成分增加。
(3)b:黃/藍軸,正值表示黃色成分增加,負值表示藍色成分增加。
CIELAB顏色空間是在色差評估係統中廣泛使用的,因為(wei) 它提供了均勻的顏色分布和顏色差異的標準化測量。在這個(ge) 空間中,任意兩(liang) 點之間的幾何距離能精確反映人眼感知到的色差大小,這使得CIELAB成為(wei) 處理顏色量化問題的理想選擇。
2. HunterLab色彩空間
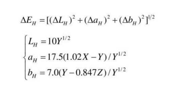
Hunter Lab係統分別以L、a、b 表示物體(ti) 反射光的三個(ge) 量,其中L表示反射光的明度,a表示反射光中紅色與(yu) 綠色的成分,b表示反射光中黃色與(yu) 藍色的成分。該係統的L,a,b值的表示及其色差公式為(wei) :
式中 X,Y,Z 為(wei) 樣品的三刺激值。Hunter Lab係統常用於(yu) 陶瓷工業(ye) 、塑料工業(ye) 和紡織工業(ye) 。
3. CIE LCH色彩空間
CIELch顏色空間是從(cong) Lab顏色空間衍生的圓柱形色彩模型,包括L、C、H三個(ge) 分量。

(1)L:亮度值(明度),其值在0至100之間,表示顏色的亮度。
(2)C:飽和度或彩度,從(cong) 中心點(飽和度為(wei) 0)到最大半徑(最大彩度為(wei) 181),表示顏色的純度或強度。
(3)h:色調角,表示顏色的具體(ti) 色相,表示顏色在色品平麵內(nei) 的角度位置,範圍從(cong) 0°至360°。這一角度從(cong) 正a軸(紅色)開始,以逆時針方向增加,其中正b軸(黃色)為(wei) 90°,負a軸(綠色)為(wei) 180°,負b軸(藍色)為(wei) 270°。
CIELch空間通過這種結構提供一種直觀的方式來描述和比較顏色。
4.CIE LUV色彩空間
CIELUV顏色空間,簡稱為(wei) CIE1976Luv*,是一種基於(yu) CIE係統的均勻顏色空間。在這個(ge) 空間中,L代表明度,而u和v是色品指數,構成與(yu) 明度L垂直的色品平麵。
5.RGB顏色空間
RGB顏色空間基於(yu) 紅(R)、綠(G)、藍(B)三基色模型,通過這三種顏色的不同組合產(chan) 生豐(feng) 富的色彩。在此模型中,黑色位於(yu) 原點,白色位於(yu) 立方體(ti) 對角的遠端,灰度沿原點至白色的連線分布。每種顏色由三個(ge) 顏色分量的坐標表示。
(1)R:紅色分量,取值範圍為(wei) 0到255。
(2)G:綠色分量,取值範圍為(wei) 0到255。
(3)B:藍色分量,取值範圍為(wei) 0到255。
盡管RGB顏色空間的表示方式直觀,但由於(yu) 它是基於(yu) 物理光的三原色,而非人眼視覺響應,因此無法精確表達色彩的視覺感知。此外,RGB顏色空間在坐標上等距離的點並不一定呈現相同的顏色差異,使得它不適合用於(yu) 精確的色差檢測。
6.XYZ色彩空間
XYZ顏色空間,也稱為(wei) CIE1931顏色空間,由CIE定義(yi) 以覆蓋人類視覺能夠感知的所有顏色。在這個(ge) 顏色空間中,X和Z代表顏色的色度成分,而Y代表亮度成分。
X、Y、Z:三刺激值,表示顏色的三基色值。這是一個(ge) 與(yu) 物理測量相關(guan) 的色彩空間,用於(yu) 轉換其他色彩空間。
7. 其他常見參數
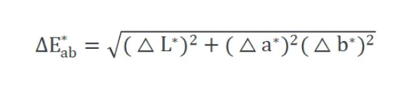
(1)ΔE*ab(色差值):表示兩(liang) 個(ge) 顏色之間的差異值。常見的計算方式有ΔEab、ΔE94、ΔE00等。ΔE越小,表示兩(liang) 個(ge) 顏色越接近。
(2)ΔL:表示亮度的差異值,正值表示樣品比標準更亮,負值表示樣品比標準更暗。
(3)Δa:表示紅/綠軸上的差異值,正值表示樣品比標準更紅,負值表示樣品比標準更綠。
(4)Δb:表示黃/藍軸上的差異值,正值表示樣品比標準更黃,負值表示樣品比標準更藍。
應用實例
●測量顏色一致性:在生產(chan) 過程中,色差儀(yi) 用於(yu) 確保產(chan) 品顏色的一致性。例如,汽車製造中的車漆顏色,紡織品染色等。
●顏色匹配:在印刷、塗料、塑料等行業(ye) ,用於(yu) 匹配客戶提供的顏色樣品。
●質量控製:用於(yu) 檢測產(chan) 品顏色是否在允許的公差範圍內(nei) ,確保產(chan) 品符合標準。
計算色差ΔE
ΔE表示顏色差異的大小,其計算公式根據色彩空間的不同而有所不同。以CIELAB色彩空間為(wei) 例,ΔEab的計算公式如下:

這裏,ΔL、Δa、Δb分別是兩(liang) 個(ge) 顏色在L、a、b軸上的差異。
結語
理解色差儀(yi) 數值的表示和意義(yi) 對於(yu) 顏色管理和質量控製至關(guan) 重要。不同的色彩空間和參數提供了不同的顏色描述方法,可以根據具體(ti) 應用選擇合適的參數進行分析和比較。通過正確使用色差儀(yi) ,可以確保產(chan) 品的顏色一致性和質量。
推薦幾款測量儀器
分光色差儀CR9+
CR9+實現了分光色差儀(yi) 和分光色差寶二合一,省心省力還省錢,是集高精度、高性能、高性價(jia) 比於(yu) 一體(ti) 的代表作。分光色差寶CR9+是3nh運用自主分光核心技術研發的便攜式測色儀(yi) ,采用內(nei) 置矽光電二極管陣列(雙列32組)感應器、進口白板,重複性ΔE*ab 輕鬆控製在0.03以內(nei) 。CR9+分光色差寶強大的性能配置和良好的儀(yi) 器台間差,讓色彩測量更專(zhuan) 業(ye) 的同時,也保證了多台設備測量數據的一致性。分光色差寶CR9+同時兼顧測量速度與(yu) 操作的便捷性,可通過PC端軟件管控色彩,也可通過藍牙與(yu) 手機設備無縫連接,極大的拓展了測色儀(yi) 的應用空間,使傳(chuan) 統意義(yi) 上的色差儀(yi) 煥發出不一樣的應用魅力。
分光測色儀TS7700
泰雙TS7700光柵分光測色儀(yi) 采用1000線精密閃耀光柵作為(wei) 分光元件,采用光敏麵積比較大的矽光電池陣列作為(wei) 探測器,采用高壽命的全光譜LED作為(wei) 光源,光學分辨率在可見光範圍內(nei) 小於(yu) 10nm。 在CIE推薦的D8幾何光學照明條件下,泰雙TS7700分光測色儀(yi) 可精確測量樣品/熒光樣品的SCI、SCE反射率數據,在多種顏色空間下,能夠對各種色差公式、顏色指數進行準確測量和表述。配有顏色管理軟件,連接電腦使用,實現更多功能擴展。在塑膠電子、油漆塗料、紡織印染、印刷紙品、汽車、醫療、化妝品和食品等行業(ye) ,在科研機構、實驗室領域均有廣泛應用。
台式分光測色儀TS8210
便攜台式分光測色儀(yi) TS8210是3nh運用自主分光核心技術研發的分光測色儀(yi) ,采用內(nei) 置矽光電二極管陣列(雙列40組)感應器、進口白板,同時兼顧測量速度與(yu) 操作的便捷性。TS8210便攜台式分光測色儀(yi) 重複性ΔE*ab 輕鬆控製在0.025以內(nei) ,台間差ΔE*ab 控製在0.2以內(nei) ,測量準確,可用於(yu) 實驗室顏色精確分析與(yu) 傳(chuan) 遞。



